How To Manually Calculate Tax On Salary - Ebook And Manual Free

Surcharge On Income Tax Know Surcharge Fee And Calculations By

Surcharge On Income Tax Know Surcharge Fee And Calculations By

Young Women Of Hand Are Calculating Individual Income Tax To Send

Young Women Of Hand Are Calculating Individual Income Tax To Send

Income Tax How To Calculate Bonus And Tax Free Malaysia Today

Income Tax How To Calculate Bonus And Tax Free Malaysia Today

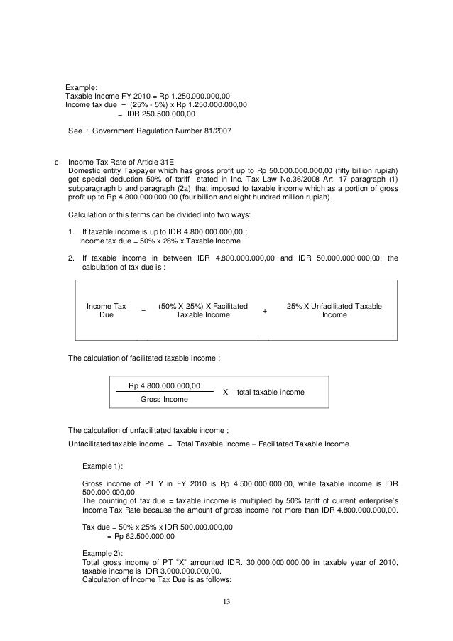
Https Media Neliti Com Media Publications 112276 Id Perancangan Dan Pembuatan Sistem Penggaj Pdf

Https Media Neliti Com Media Publications 112276 Id Perancangan Dan Pembuatan Sistem Penggaj Pdf

Calculate Income Tax On Salary Transparent Png 1200x1708 Free

Calculate Income Tax On Salary Transparent Png 1200x1708 Free

Do You Know How Income Taxes Are Calculated Text Background Word

Do You Know How Income Taxes Are Calculated Text Background Word

Instruction For The Completion Of Income Tax Return For Corporate

Instruction For The Completion Of Income Tax Return For Corporate

Income Tax Paye Manual Calculations

Income Tax Paye Manual Calculations

Flat Design Vector Business Illustration Concept Investment Hand

Flat Design Vector Business Illustration Concept Investment Hand

Close Hand Business Employee Accountant Calculator Stock Photo

Close Hand Business Employee Accountant Calculator Stock Photo

Https Encrypted Tbn0 Gstatic Com Images Q Tbn 3aand9gcsl86v7tfrsj Aivds6s Zct7xpc Di1jsxvru Wh30x Rw62dm Usqp Cau

Https Encrypted Tbn0 Gstatic Com Images Q Tbn 3aand9gcsl86v7tfrsj Aivds6s Zct7xpc Di1jsxvru Wh30x Rw62dm Usqp Cau

Company Tax Computation Format

Company Tax Computation Format

Federal Tax On Taxable Income Manual Calculation Chart Trinity

Federal Tax On Taxable Income Manual Calculation Chart Trinity

How To File Your Income Taxes In South Africa Expatica

How To File Your Income Taxes In South Africa Expatica

How To Calculate Income Tax In Excel

How To Calculate Income Tax In Excel

Chartered Accountant Hand Calculating Tax And Salary Stock Photo

Chartered Accountant Hand Calculating Tax And Salary Stock Photo

Http Www Investkorea Org Publish Data Bbs Bulletin Img 1501 Tax 1501 Pdf

Http Www Investkorea Org Publish Data Bbs Bulletin Img 1501 Tax 1501 Pdf

Federal Tax On Taxable Income Manual Calculation Chart Trinity

Federal Tax On Taxable Income Manual Calculation Chart Trinity

Conceptual Hand Writing Showing Tax Deduction Concept Meaning

Conceptual Hand Writing Showing Tax Deduction Concept Meaning

Federal Tax On Taxable Income Manual Calculation Chart Trinity

Federal Tax On Taxable Income Manual Calculation Chart Trinity

1

1

Manual Book 1770

Manual Book 1770

Income Tax Formula Excel University

Income Tax Formula Excel University

Ppt Taxable Income Formula For Individuals Powerpoint

Ppt Taxable Income Formula For Individuals Powerpoint

Chartered Accountant Hand Calculating Tax And Salary Stock Photo

Chartered Accountant Hand Calculating Tax And Salary Stock Photo

Free Images Writing Hand Pen Money Office Math Brand

Free Images Writing Hand Pen Money Office Math Brand

Calculator Daily Ui Challenge 004 2 By Mooque Co On Dribbble

Calculator Daily Ui Challenge 004 2 By Mooque Co On Dribbble

Income Tax Calculator 2020 Switzerland Salary After Tax

Income Tax Calculator 2020 Switzerland Salary After Tax

Tax Wikipedia

Tax Wikipedia

How To Calculate Taxes On Operating Income 8 Steps

How To Calculate Taxes On Operating Income 8 Steps

Ryyp1whwn1x10m

Ryyp1whwn1x10m

Conceptual Hand Writing Showing Tax Deduction Concept Meaning

Conceptual Hand Writing Showing Tax Deduction Concept Meaning

Income Tax Calculator For Fy 2019 20 Ay 2020 21 Excel Download

Income Tax Calculator For Fy 2019 20 Ay 2020 21 Excel Download

Hsenidbiz Hrm Enterprise Payroll Enhances Accuracy On Time

Hsenidbiz Hrm Enterprise Payroll Enhances Accuracy On Time

How To Manually Calculate Your Tax Income Tax Calculator

How To Manually Calculate Your Tax Income Tax Calculator

How To Compute Philippine Bir Taxes

How To Compute Philippine Bir Taxes

Nbc Group How To Calculate Tax Estimate For Cp204

Nbc Group How To Calculate Tax Estimate For Cp204

Conceptual Hand Writing Showing Tax Deduction Concept Meaning

Conceptual Hand Writing Showing Tax Deduction Concept Meaning

How To Calculate Income Tax In Excel

How To Calculate Income Tax In Excel

Instruction For The Completion Of Income Tax Return For Corporate

Instruction For The Completion Of Income Tax Return For Corporate

Income Tax Calculator Calculate Taxes Online Fy 2019 20

Income Tax Calculator Calculate Taxes Online Fy 2019 20

Surcharge On Income Tax Know Surcharge Fee And Calculations By

Surcharge On Income Tax Know Surcharge Fee And Calculations By

Smeinfo Understanding Tax

Smeinfo Understanding Tax

Federal Tax On Taxable Income Manual Calculation Chart Trinity

Federal Tax On Taxable Income Manual Calculation Chart Trinity

Gross Vs Net Pay What S The Difference Between Gross And Net

Gross Vs Net Pay What S The Difference Between Gross And Net

Manual Book 1770

Manual Book 1770

Income Tax Calculator 2020 Switzerland Salary After Tax

Income Tax Calculator 2020 Switzerland Salary After Tax

Tax Calculation Localization For Indonesia

Tax Calculation Localization For Indonesia

Young Women Of Hand Are Calculating Individual Income Tax To Send

Young Women Of Hand Are Calculating Individual Income Tax To Send

How To Calculate Customs Duty And Import Tax In Indonesia Tax

How To Calculate Customs Duty And Import Tax In Indonesia Tax

Instruction For The Completion Of Income Tax Return For Corporate

Instruction For The Completion Of Income Tax Return For Corporate

Instruction For The Completion Of Income Tax Return For Corporate

Instruction For The Completion Of Income Tax Return For Corporate

Uk Tax Calculator 20192020 Income Calculation Spreadsheet With

Uk Tax Calculator 20192020 Income Calculation Spreadsheet With

Tax Liability What It Is And How To Calculate It Bench Accounting

Tax Liability What It Is And How To Calculate It Bench Accounting

How To Calculate 2019 Federal Income Withhold Manually

How To Calculate 2019 Federal Income Withhold Manually

Conceptual Hand Writing Showing Pay Roll Concept Meaning

Conceptual Hand Writing Showing Pay Roll Concept Meaning

How To Calculate Income Tax Based On Taxable Slab Hrms Discuss

How To Calculate Income Tax Based On Taxable Slab Hrms Discuss

How Is Taxable Income Calculated

How Is Taxable Income Calculated

Instruction For The Completion Of Income Tax Return For Corporate

Instruction For The Completion Of Income Tax Return For Corporate

Conceptual Hand Writing Showing Tax Deduction Concept Meaning

Conceptual Hand Writing Showing Tax Deduction Concept Meaning

How To Calculate The Tax In Australia Quora

How To Calculate The Tax In Australia Quora

Amt Know About Alternative Minimum Tax Applicability Exemptions

Amt Know About Alternative Minimum Tax Applicability Exemptions

Person Holding Blue Clip Board Illustration Euclidean Calculate

Person Holding Blue Clip Board Illustration Euclidean Calculate

Federal Tax On Taxable Income Manual Calculation Chart Trinity

Federal Tax On Taxable Income Manual Calculation Chart Trinity

Tax Calculator Compute Your New Income Tax

Tax Calculator Compute Your New Income Tax

Instruction For The Completion Of Income Tax Return For Corporate

Instruction For The Completion Of Income Tax Return For Corporate

How To Calculate 2018 Federal Income Withhold Manually

How To Calculate 2018 Federal Income Withhold Manually

Basic Format Of Tax Computation For An Investment Holding Iras

Basic Format Of Tax Computation For An Investment Holding Iras

How To Create An Income Tax Calculator In Excel Youtube

How To Create An Income Tax Calculator In Excel Youtube

The Income Tax Withholding Assistant Helps Small Employers

The Income Tax Withholding Assistant Helps Small Employers

How To Calculate Income Tax How To Compute Your Total Taxable Income

How To Calculate Income Tax How To Compute Your Total Taxable Income

Tax Calculation For Employee Remunerated By Commission Erp Human

Tax Calculation For Employee Remunerated By Commission Erp Human

Manual Book 1770

Manual Book 1770

Federal Tax On Taxable Income Manual Calculation Chart Trinity

Federal Tax On Taxable Income Manual Calculation Chart Trinity

Conceptual Hand Writing Showing Tax Deduction Concept Meaning

Conceptual Hand Writing Showing Tax Deduction Concept Meaning

Tax Calculator Compute Your New Income Tax

Tax Calculator Compute Your New Income Tax

Income Tax Calculator 2020 Switzerland Salary After Tax

Income Tax Calculator 2020 Switzerland Salary After Tax

Income Tax Paye Manual Calculations

Income Tax Paye Manual Calculations

Https Encrypted Tbn0 Gstatic Com Images Q Tbn 3aand9gcskpcpx1lqo Rymbsqbfn0 Oi3cpy5ushpfjqie4ukak Idtpyy Usqp Cau

Https Encrypted Tbn0 Gstatic Com Images Q Tbn 3aand9gcskpcpx1lqo Rymbsqbfn0 Oi3cpy5ushpfjqie4ukak Idtpyy Usqp Cau

Federal Tax On Taxable Income Manual Calculation Chart Trinity

Federal Tax On Taxable Income Manual Calculation Chart Trinity

Solved How Do I Calculate Income Tax Expense For Average

Solved How Do I Calculate Income Tax Expense For Average

How To Calculate Income Tax In Excel

How To Calculate Income Tax In Excel

How Payrollhero Computes The Philippine Bir Tax Deduction

How Payrollhero Computes The Philippine Bir Tax Deduction

Federal Tax On Taxable Income Manual Calculation Chart Trinity

Federal Tax On Taxable Income Manual Calculation Chart Trinity

Tax In Taiwan Tax Songjer Cpa

Tax In Taiwan Tax Songjer Cpa

How Much Does A Small Business Pay In Taxes

How Much Does A Small Business Pay In Taxes

Close Hand Business Image Photo Free Trial Bigstock

Close Hand Business Image Photo Free Trial Bigstock

Https Encrypted Tbn0 Gstatic Com Images Q Tbn 3aand9gcrbwuwxttciw8kgc2kbxuhmdy0ebtiu1xxfnedjxhuuowv70lv3 Usqp Cau

Https Encrypted Tbn0 Gstatic Com Images Q Tbn 3aand9gcrbwuwxttciw8kgc2kbxuhmdy0ebtiu1xxfnedjxhuuowv70lv3 Usqp Cau

Concepts In Federal Taxation 2013 20th Edition By Murphy Higgins

Concepts In Federal Taxation 2013 20th Edition By Murphy Higgins

Young Women Of Hand Are Calculating Individual Income Tax To Send

Young Women Of Hand Are Calculating Individual Income Tax To Send

Conceptual Hand Writing Showing Tax Deduction Concept Meaning

Conceptual Hand Writing Showing Tax Deduction Concept Meaning

Word Writing Text Tax Deduction Business Concept For Amount

Word Writing Text Tax Deduction Business Concept For Amount

Federal Tax On Taxable Income Manual Calculation Chart Trinity

Federal Tax On Taxable Income Manual Calculation Chart Trinity

Do You Know How Income Taxes Are Calculated Text Background Word

Do You Know How Income Taxes Are Calculated Text Background Word

Https Encrypted Tbn0 Gstatic Com Images Q Tbn 3aand9gctr2jx5casxiifac Fuhq9p2fggcmkt2lrjtg Usqp Cau

Https Encrypted Tbn0 Gstatic Com Images Q Tbn 3aand9gctr2jx5casxiifac Fuhq9p2fggcmkt2lrjtg Usqp Cau

Morocco Income Tax Calculation Progressive Scale Upsilon

Morocco Income Tax Calculation Progressive Scale Upsilon

Instruction For The Completion Of Income Tax Return For Corporate

Instruction For The Completion Of Income Tax Return For Corporate

Comparing Tax Rates Across Asean Asean Business News

Comparing Tax Rates Across Asean Asean Business News

New Income Tax Calculation Rebate 2018 19 Explained Youtube

New Income Tax Calculation Rebate 2018 19 Explained Youtube

Close Business Woman Hand Using Calculator Stock Photo Edit Now

Close Business Woman Hand Using Calculator Stock Photo Edit Now

Income Tax Calculator How To Calculate Tax On Your Salary

Income Tax Calculator How To Calculate Tax On Your Salary

Man Calculates Income Tax Tax Form Us Calculate Income Office

Man Calculates Income Tax Tax Form Us Calculate Income Office

Federal Tax On Taxable Income Manual Calculation Chart Trinity

Federal Tax On Taxable Income Manual Calculation Chart Trinity